Официальное опубликование правовых актов
ОФИЦИАЛЬНОЕ ОПУБЛИКОВАНИЕ
Постановление Правительства Орловской области от 28.11.2018 № 479
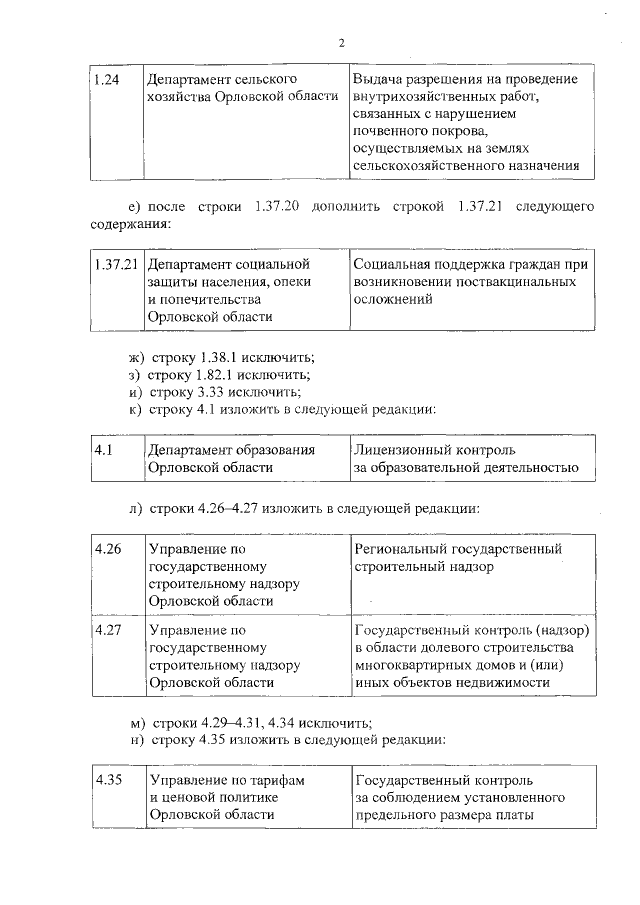
"О внесении изменений в постановление Правительства Орловской области от 18 июля 2016 года № 289 "Об утверждении Реестра государственных услуг и государственных контрольных и надзорных функций Орловской области"
Номер опубликования: 5700201811290001
Дата опубликования: 29.11.2018
Страница №2 из 3:
Увеличить