Официальное опубликование правовых актов
ОФИЦИАЛЬНОЕ ОПУБЛИКОВАНИЕ
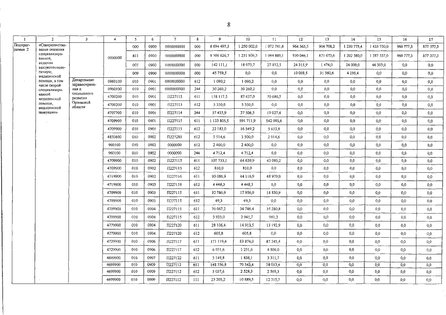
Постановление Правительства Орловской области от 22.11.2018 № 460
"О внесении изменения в постановление Правительства Орловской области от 30 апреля 2013 года № 153 "Об утверждении государственной программы Орловской области "Развитие отрасли здравоохранения в Орловской области"
Номер опубликования: 5700201811260005
Дата опубликования: 26.11.2018
Страница №122 из 176:
Увеличить