Официальное опубликование правовых актов
ОФИЦИАЛЬНОЕ ОПУБЛИКОВАНИЕ
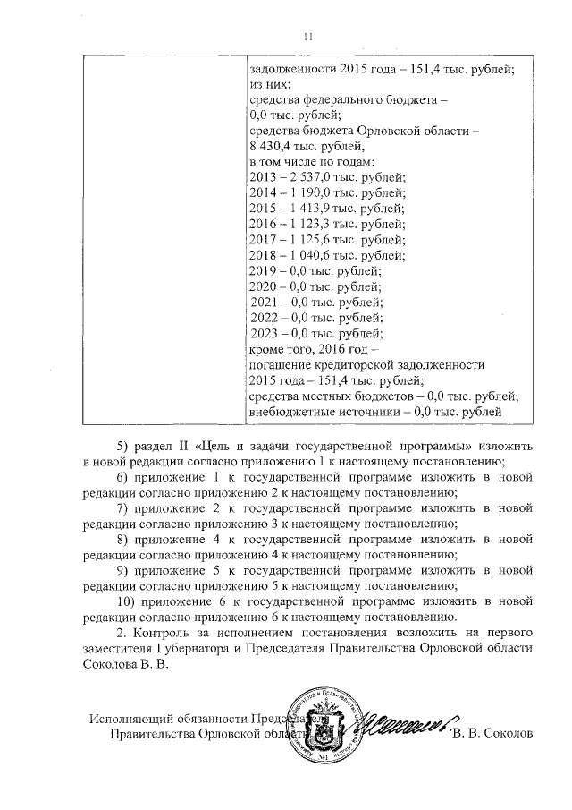
Постановление Правительства Орловской области от 12.10.2018 № 411
"О внесении изменений в постановление Правительства Орловской области от 29 декабря 2012 года № 520 "Об утверждении государственной программы Орловской области "Молодежь Орловщины"
Номер опубликования: 5700201810150002
Дата опубликования: 15.10.2018
Страница №11 из 136:
Увеличить