Официальное опубликование правовых актов
ОФИЦИАЛЬНОЕ ОПУБЛИКОВАНИЕ
Постановление Правительства Орловской области от 09.10.2018 № 409
"О внесении изменения в постановление Правительства Орловской области от 30 апреля 2013 года № 153 "Об утверждении государственной программы Орловской области "Развитие отрасли здравоохранения в Орловской области"
Номер опубликования: 5700201810100001
Дата опубликования: 10.10.2018
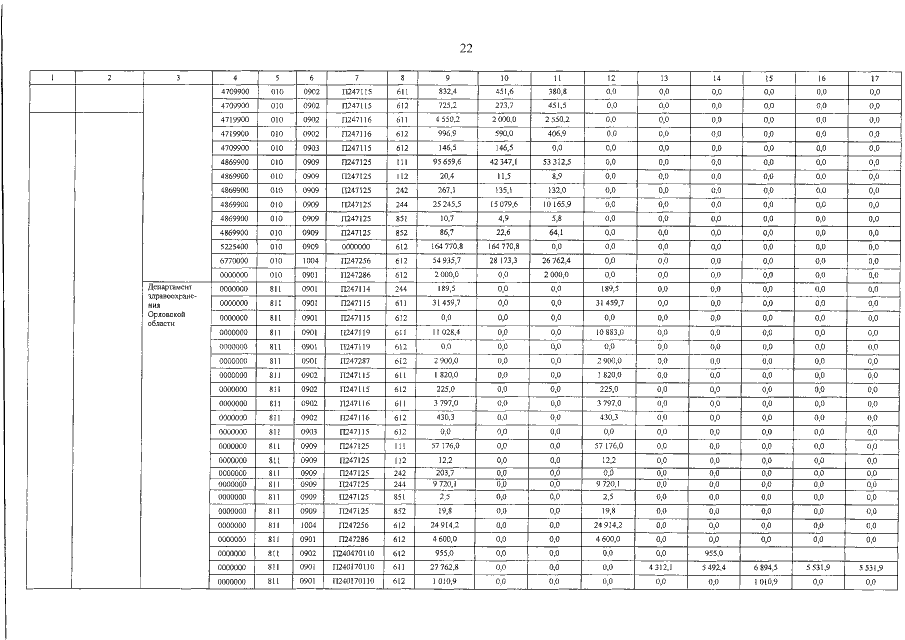
Страница №135 из 174:
Увеличить