Официальное опубликование правовых актов
ОФИЦИАЛЬНОЕ ОПУБЛИКОВАНИЕ
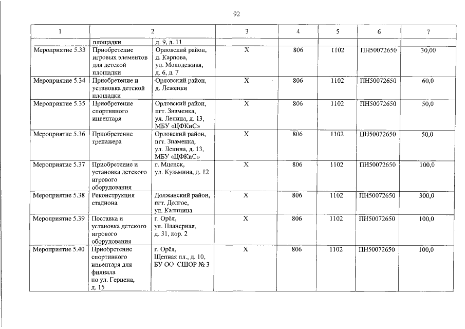
Постановление Правительства Орловской области от 02.10.2018 № 405
"О внесении изменения в постановление Правительства Орловской области от 10 октября 2017 года № 421 "Об утверждении государственной программы Орловской области "Реализация наказов избирателей депутатам Орловского областного Совета народных депутатов"
Номер опубликования: 5700201810040001
Дата опубликования: 04.10.2018
Страница №122 из 138:
Увеличить