Официальное опубликование правовых актов
ОФИЦИАЛЬНОЕ ОПУБЛИКОВАНИЕ
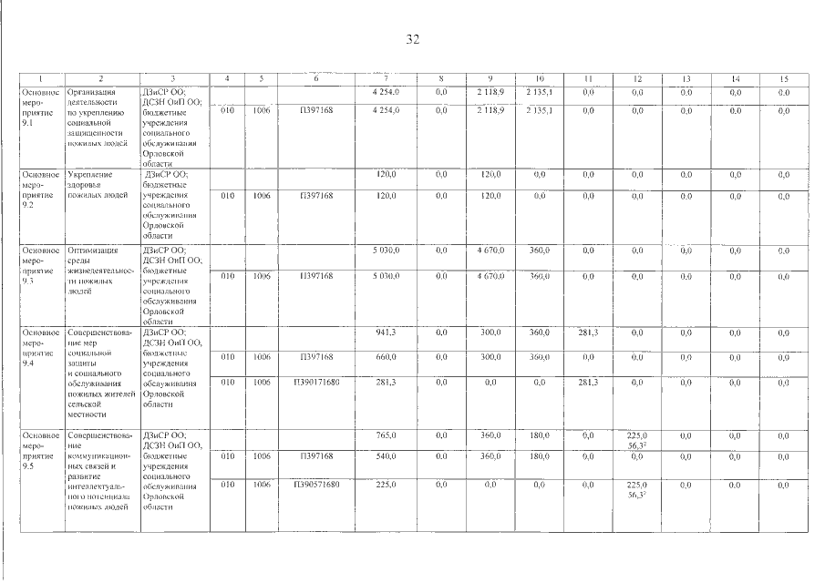
Постановление Правительства Орловской области от 27.08.2018 № 357
"О внесении изменений в постановление Правительства Орловской области от 19 декабря 2012 года № 479 "Об утверждении государственной программы Орловской области "Социальная поддержка граждан в Орловской области"
Номер опубликования: 5700201808300016
Дата опубликования: 30.08.2018
Страница №93 из 141:
Увеличить