Официальное опубликование правовых актов
ОФИЦИАЛЬНОЕ ОПУБЛИКОВАНИЕ
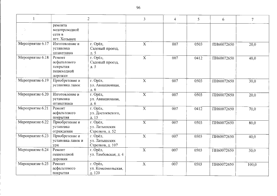
Постановление Правительства Орловской области от 16.07.2018 № 296
"О внесении изменения в постановление Правительства Орловской области от 10 октября 2017 года № 421 "Об утверждении государственной программы Орловской области "Реализация наказов избирателей депутатам Орловского областного Совета народных депутатов"
Номер опубликования: 5700201807170007
Дата опубликования: 17.07.2018
Страница №126 из 136:
Увеличить