Официальное опубликование правовых актов
ОФИЦИАЛЬНОЕ ОПУБЛИКОВАНИЕ
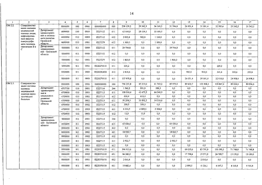
Постановление Правительства Орловской области от 29.06.2018 № 285
"О внесении изменения в постановление Правительства Орловской области от 30 апреля 2013 года № 153 "Об утверждении государственной программы Орловской области "Развитие отрасли здравоохранения в Орловской области"
Номер опубликования: 5700201807030005
Дата опубликования: 03.07.2018
Страница №127 из 174:
Увеличить