Официальное опубликование правовых актов
ОФИЦИАЛЬНОЕ ОПУБЛИКОВАНИЕ
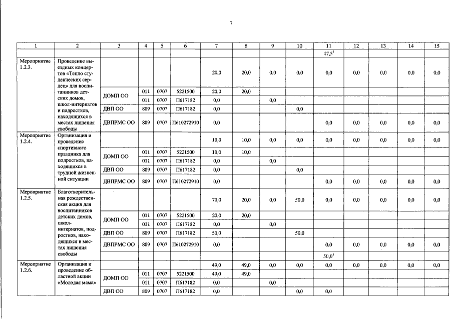
Постановление Правительства Орловской области от 17.04.2018 № 174
"О внесении изменений в постановление Правительства Орловской области от 29 декабря 2012 года № 520 "Об утверждении государственной программы Орловской области "Молодежь Орловщины"
Номер опубликования: 5700201804190005
Дата опубликования: 19.04.2018
Страница №30 из 120:
Увеличить