Официальное опубликование правовых актов
ОФИЦИАЛЬНОЕ ОПУБЛИКОВАНИЕ
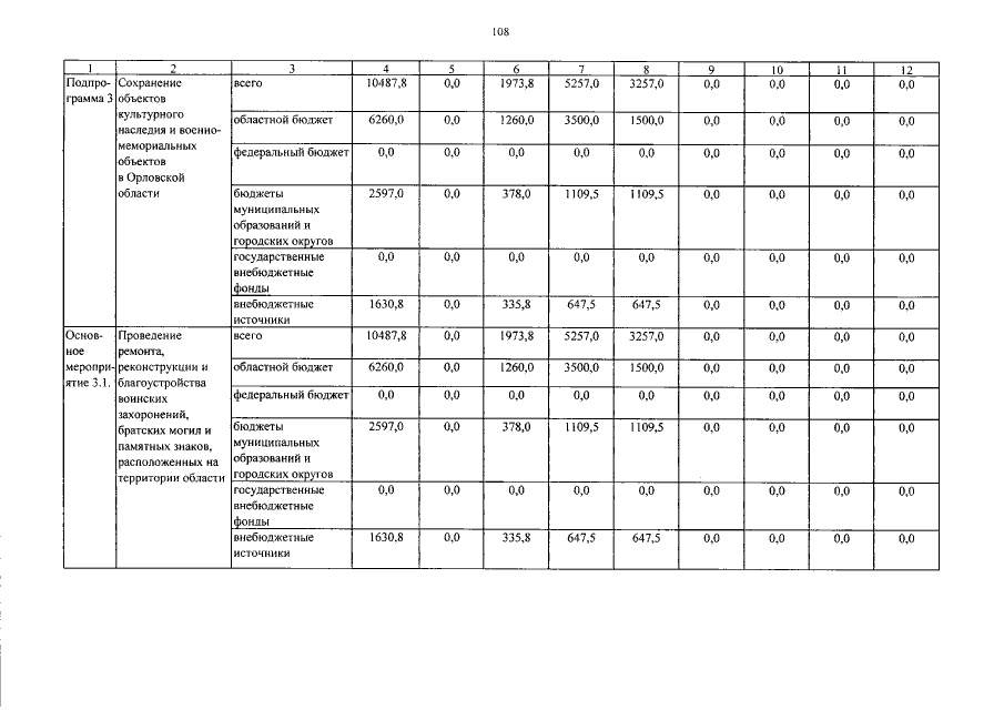
Постановление Правительства Орловской области от 13.04.2018 № 165
"О внесении изменений в постановление Правительства Орловской области от 7 ноября 2012 года № 400 "Об утверждении государственной программы Орловской области "Развитие культуры и искусства, туризма, архивного дела, сохранение и реконструкция военно-мемориальных объектов в Орловской области"
Номер опубликования: 5700201804170003
Дата опубликования: 17.04.2018
Страница №243 из 345:
Увеличить