Постановление Правительства Орловской области от 05.04.2018 № 137
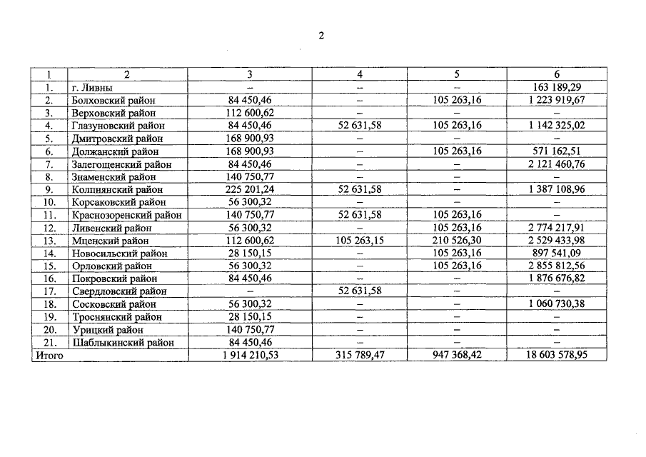
"О распределении из областного бюджета бюджетам муниципальных районов и городских округов Орловской области субсидий на софинансирование реализации мероприятий подпрограммы 1 "Развитие отрасли культуры в Орловской области" государственной программы Орловской области "Развитие культуры и искусства, туризма, архивного дела, сохранение и реконструкция военно-мемориальных объектов в Орловской области" на 2018 год"
"О распределении из областного бюджета бюджетам муниципальных районов и городских округов Орловской области субсидий на софинансирование реализации мероприятий подпрограммы 1 "Развитие отрасли культуры в Орловской области" государственной программы Орловской области "Развитие культуры и искусства, туризма, архивного дела, сохранение и реконструкция военно-мемориальных объектов в Орловской области" на 2018 год"
Номер опубликования: 5700201804090004
Дата опубликования:
09.04.2018
