Официальное опубликование правовых актов
ОФИЦИАЛЬНОЕ ОПУБЛИКОВАНИЕ
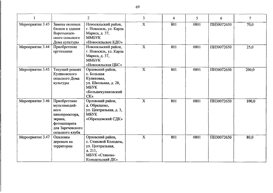
Постановление Правительства Орловской области от 05.04.2018 № 138
"О внесении изменения в постановление Правительства Орловской области от 10 октября 2017 года № 421 "Об утверждении государственной программы Орловской области "Реализация наказов избирателей депутатам Орловского областного Совета народных депутатов"
Номер опубликования: 5700201804090002
Дата опубликования: 09.04.2018
Страница №99 из 127:
Увеличить