Официальное опубликование правовых актов
ОФИЦИАЛЬНОЕ ОПУБЛИКОВАНИЕ
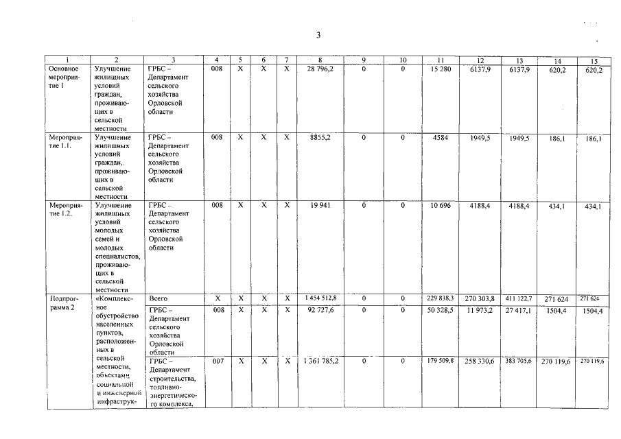
Постановление Правительства Орловской области от 19.03.2018 № 101
"О внесении изменений в постановление Правительства Орловской области от 4 декабря 2013 года № 411 "Об утверждении государственной программы Орловской области "Устойчивое развитие сельских территорий Орловской области"
Номер опубликования: 5700201803210009
Дата опубликования: 21.03.2018
Страница №25 из 48:
Увеличить