Официальное опубликование правовых актов
ОФИЦИАЛЬНОЕ ОПУБЛИКОВАНИЕ
Постановление Правительства Орловской области от 16.02.2018 № 69
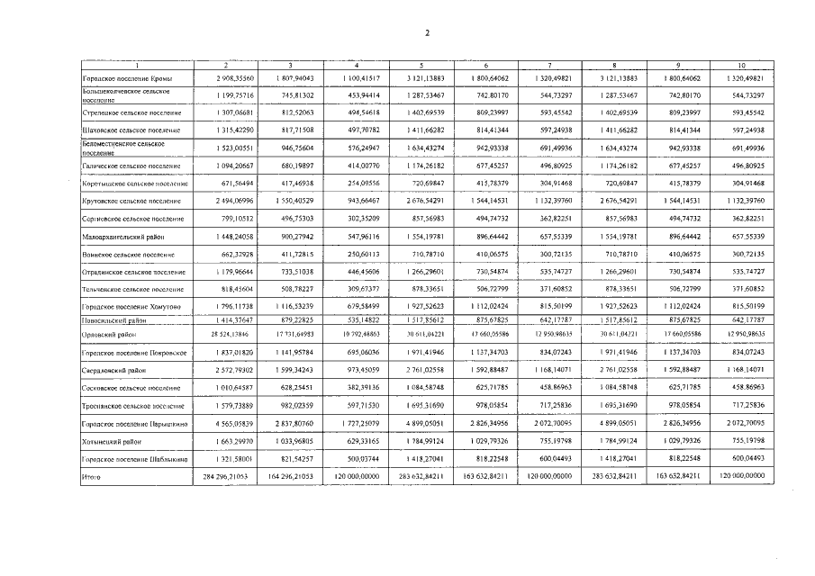
"О распределении субсидий из областного бюджета бюджетам муниципальных образований Орловской области на поддержку муниципальных программ формирования современной городской среды в рамках подпрограммы 1 "Благоустройство территорий муниципальных образований Орловской области" государственной программы Орловской области "Формирование современной городской среды на территории Орловской области"
Номер опубликования: 5700201802200002
Дата опубликования: 20.02.2018
Страница №3 из 3:
Увеличить