Официальное опубликование правовых актов
ОФИЦИАЛЬНОЕ ОПУБЛИКОВАНИЕ
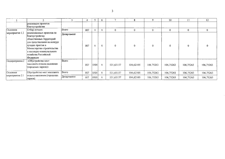
Постановление Правительства Орловской области от 16.02.2018 № 70
"О внесении изменений в постановление Правительства Орловской области от 31 августа 2017 года № 372 "Об утверждении государственной программы Орловской области "Формирование современной городской среды на территории Орловской области" на 2018–2022 годы"
Номер опубликования: 5700201802200001
Дата опубликования: 20.02.2018
Страница №26 из 33:
Увеличить