Указ Губернатора Орловской области от 12.02.2018 № 57
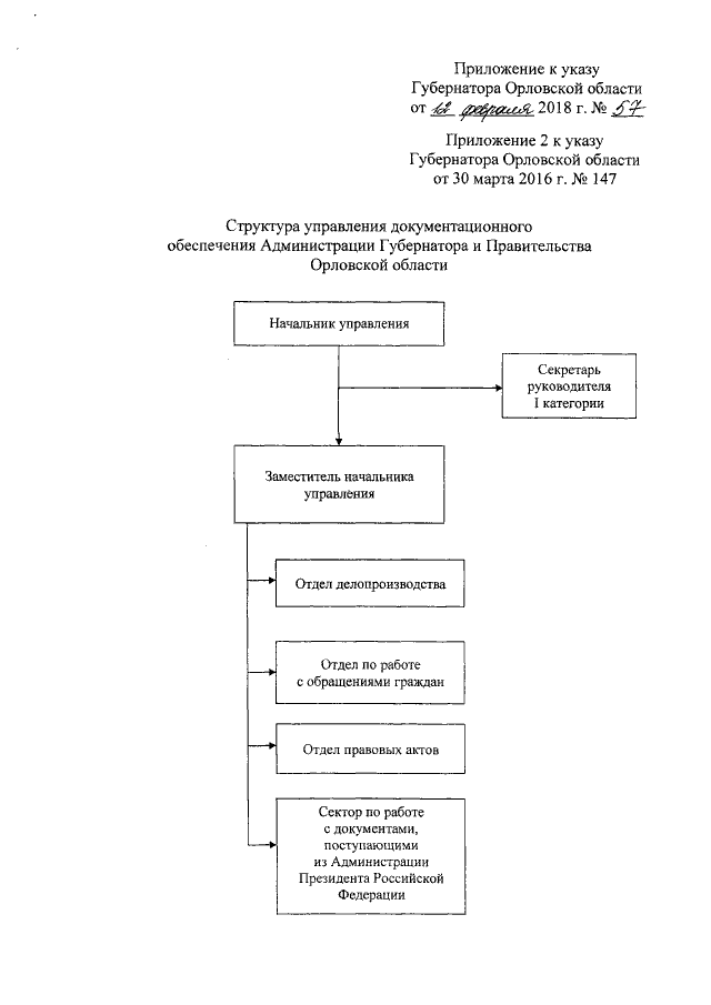
"О внесении изменений в указ Губернатора Орловской области от 30 марта 2016 года № 147 "Об утверждении Положения об управлении документационного и технического обеспечения Администрации Губернатора и Правительства Орловской области и его структуры"
"О внесении изменений в указ Губернатора Орловской области от 30 марта 2016 года № 147 "Об утверждении Положения об управлении документационного и технического обеспечения Администрации Губернатора и Правительства Орловской области и его структуры"
Номер опубликования: 5700201802140001
Дата опубликования:
14.02.2018
