Официальное опубликование правовых актов
ОФИЦИАЛЬНОЕ ОПУБЛИКОВАНИЕ
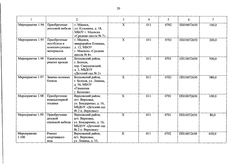
Постановление Правительства Орловской области от 08.02.2018 № 59
"О внесении изменения в постановление Правительства Орловской области от 10 октября 2017 года № 421 "Об утверждении государственной программы Орловской области "Реализация наказов избирателей депутатам Орловского областного Совета народных депутатов"
Номер опубликования: 5700201802090009
Дата опубликования: 09.02.2018
Страница №50 из 124:
Увеличить