Официальное опубликование правовых актов
ОФИЦИАЛЬНОЕ ОПУБЛИКОВАНИЕ
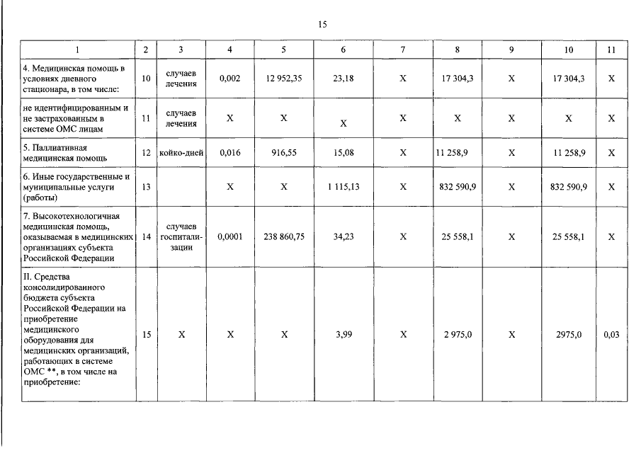
Постановление Правительства Орловской области от 29.12.2017 № 574
"О Программе государственных гарантий бесплатного оказания гражданам медицинской помощи на территории Орловской области на 2018 год и на плановый период 2019 и 2020 годов"
Номер опубликования: 5700201801040002
Дата опубликования: 04.01.2018
Страница №58 из 309:
Увеличить