Официальное опубликование правовых актов
ОФИЦИАЛЬНОЕ ОПУБЛИКОВАНИЕ
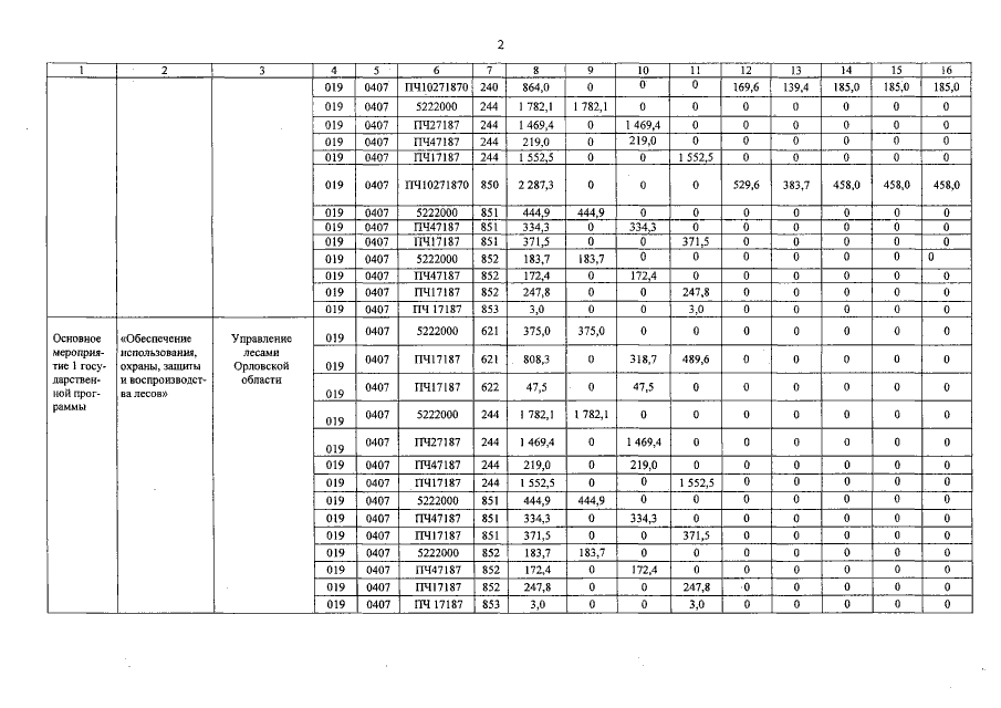
Постановление Правительства Орловской области от 27.12.2017 № 552
"О внесении изменений в постановление Правительства Орловской области от 30 ноября 2012 года № 446 "Об утверждении государственной программы Орловской области "Развитие лесного хозяйства Орловской области"
Номер опубликования: 5700201712280009
Дата опубликования: 28.12.2017
Страница №33 из 37:
Увеличить