Официальное опубликование правовых актов
ОФИЦИАЛЬНОЕ ОПУБЛИКОВАНИЕ
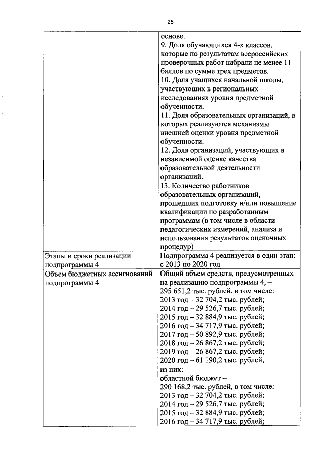
Постановление Правительства Орловской области от 17.10.2017 № 435
"О внесении изменений в постановление Правительства Орловской области от 28 декабря 2012 года № 500 "Об утверждении государственной программы Орловской области "Образование в Орловской области"
Номер опубликования: 5700201710180005
Дата опубликования: 18.10.2017
Страница №26 из 173:
Увеличить