Официальное опубликование правовых актов
ОФИЦИАЛЬНОЕ ОПУБЛИКОВАНИЕ
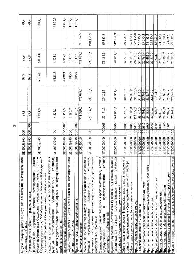
Закон Орловской области от 05.10.2017 № 2155-ОЗ
"О внесении изменений в Закон Орловской области "Об областном бюджете на 2017 год и на плановый период 2018 и 2019 годов"
Номер опубликования: 5700201710060019
Дата опубликования: 06.10.2017
Страница №572 из 652:
Увеличить