Официальное опубликование правовых актов
ОФИЦИАЛЬНОЕ ОПУБЛИКОВАНИЕ
Указ Губернатора Орловской области от 09.08.2017 № 350
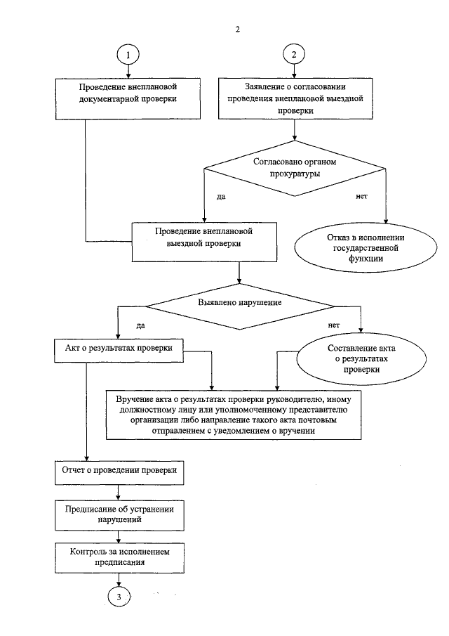
"О внесении изменений в указ Губернатора Орловской области от 18 июля 2014 года № 260 "Об утверждении административного регламента исполнения Департаментом образования Орловской области государственной функции по контролю за соблюдением лицензионных требований и условий при осуществлении образовательной деятельности организациями, осуществляющими образовательную деятельность на территории Орловской области, за исключением организаций, указанных в пункте 7 части 1 статьи 6 Федерального закона от 29 декабря 2012 года № 273-ФЗ "Об образовании в Российской Федерации"
Номер опубликования: 5700201708100007
Дата опубликования: 10.08.2017
Страница №13 из 14:
Увеличить