Официальное опубликование правовых актов
ОФИЦИАЛЬНОЕ ОПУБЛИКОВАНИЕ
Постановление Правительства Орловской области от 20.06.2017 № 249
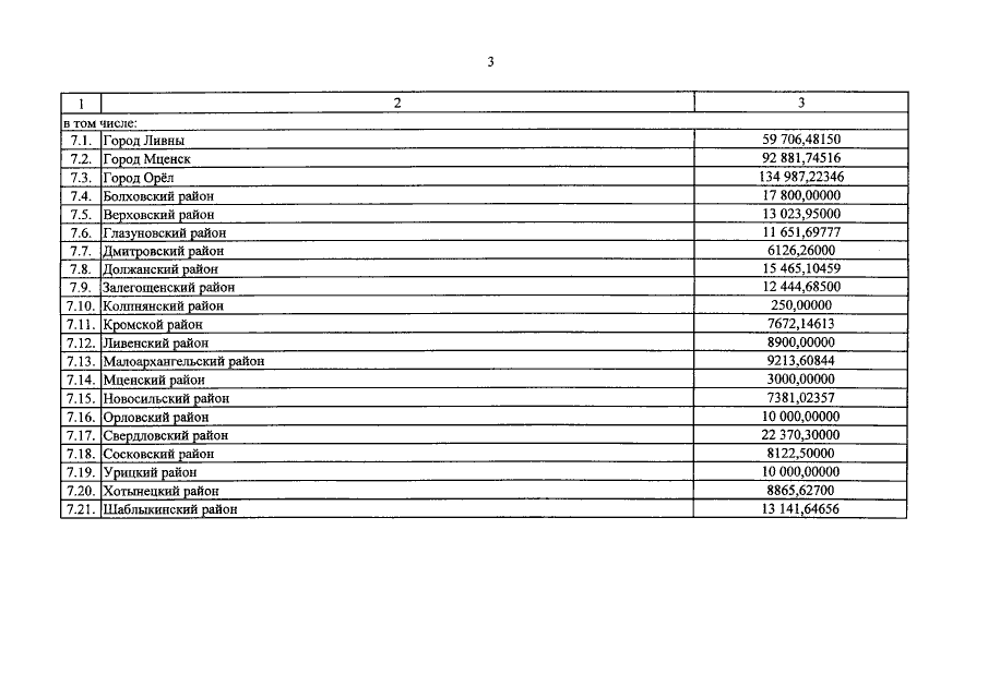
"О внесении изменений в отдельные нормативные правовые акты Орловской области и об утверждении распределения иных межбюджетных трансфертов, предоставляемых в 2017 году бюджету Орловской области на достижение целевых показателей региональных программ в сфере дорожного хозяйства, предусматривающих приведение в нормативное состояние, развитие и увеличение пропускной способности сети автомобильных дорог общего пользования регионального или межмуниципального, местного значения"
Номер опубликования: 5700201706220007
Дата опубликования: 22.06.2017
Страница №5 из 21:
Увеличить