Официальное опубликование правовых актов
ОФИЦИАЛЬНОЕ ОПУБЛИКОВАНИЕ
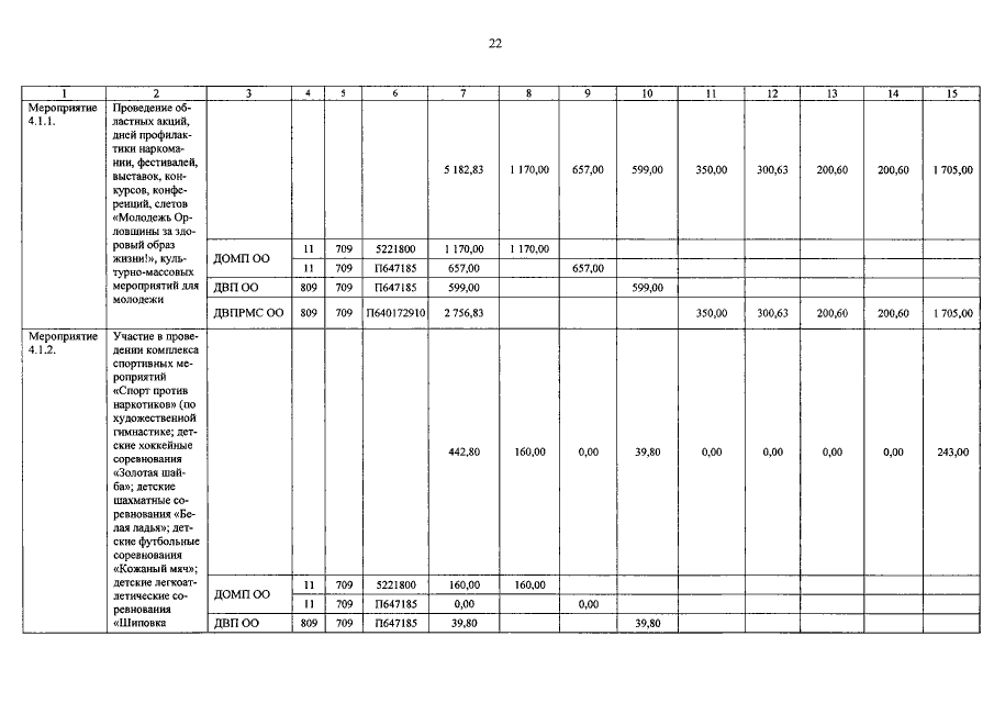
Постановление Правительства Орловской области от 31.05.2017 № 227
"О внесении изменений в постановление Правительства Орловской области от 29 декабря 2012 года № 520 "Об утверждении государственной программы Орловской области "Молодежь Орловщины"
Номер опубликования: 5700201706010004
Дата опубликования: 01.06.2017
Страница №44 из 118:
Увеличить