Официальное опубликование правовых актов
ОФИЦИАЛЬНОЕ ОПУБЛИКОВАНИЕ
Постановление Правительства Орловской области от 02.05.2017 № 188
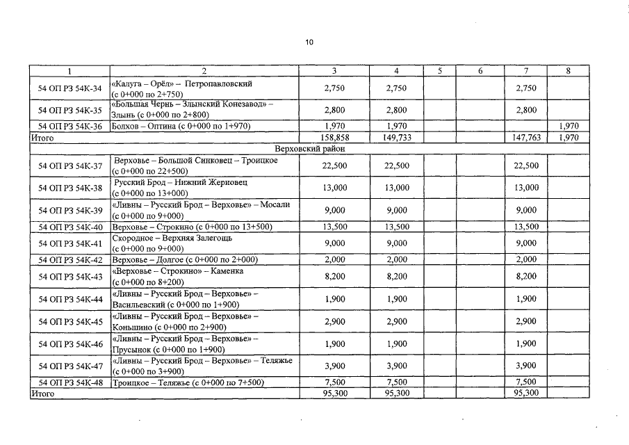
"О внесении изменений в постановление Правительства Орловской области от 19 ноября 2015 года № 501 "Об утверждении Перечня автомобильных дорог общего пользования регионального и межмуниципального значения Орловской области"
Номер опубликования: 5700201705030003
Дата опубликования: 03.05.2017
Страница №11 из 33:
Увеличить