Постановление Правительства Орловской области от 08.11.2016 № 441
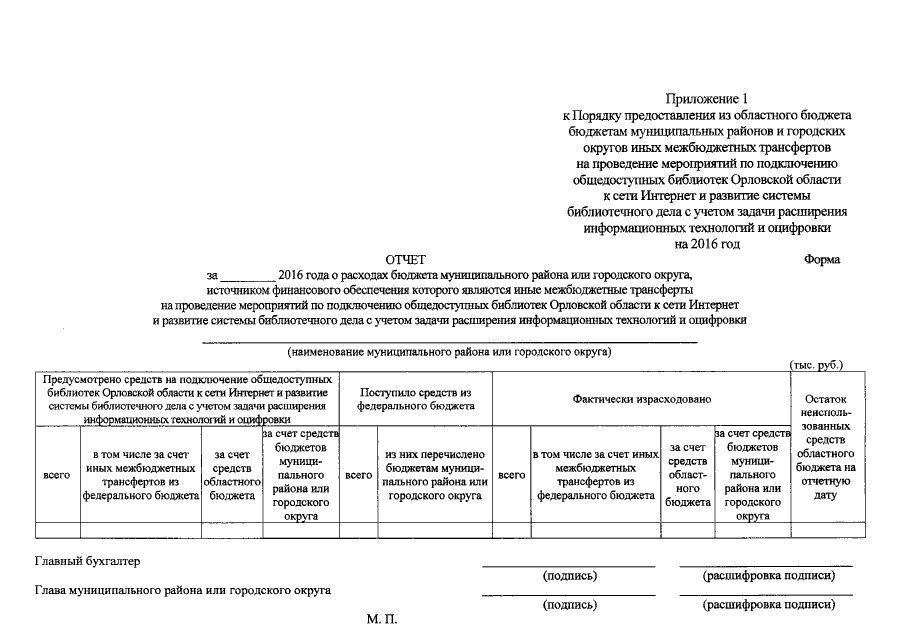
"Об утверждении Порядка предоставления из областного бюджета бюджетам муниципальных районов и городских округов иных межбюджетных трансфертов на проведение мероприятий по подключению общедоступных библиотек Орловской области к сети Интернет и развитие системы библиотечного дела с учетом задачи расширения информационных технологий и оцифровки на 2016 год"
"Об утверждении Порядка предоставления из областного бюджета бюджетам муниципальных районов и городских округов иных межбюджетных трансфертов на проведение мероприятий по подключению общедоступных библиотек Орловской области к сети Интернет и развитие системы библиотечного дела с учетом задачи расширения информационных технологий и оцифровки на 2016 год"
Номер опубликования: 5700201611090001
Дата опубликования:
09.11.2016
