Официальное опубликование правовых актов
ОФИЦИАЛЬНОЕ ОПУБЛИКОВАНИЕ
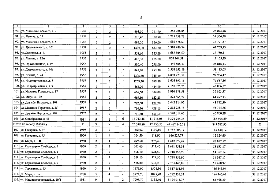
Постановление Правительства Орловской области от 12.09.2016 № 357
"Об утверждении краткосрочного плана реализации областной адресной программы "Капитальный ремонт общего имущества в многоквартирных домах на территории Орловской области" в 2017 году"
Номер опубликования: 5700201609130002
Дата опубликования: 13.09.2016
Страница №11 из 14:
Увеличить