Официальное опубликование правовых актов
ОФИЦИАЛЬНОЕ ОПУБЛИКОВАНИЕ
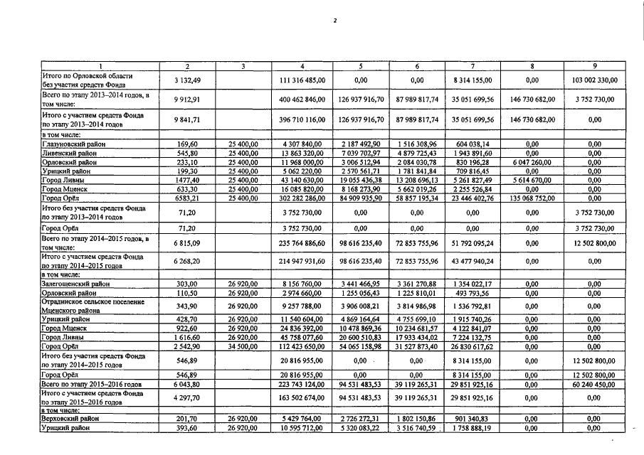
Постановление Правительства Орловской области от 04.07.2016 № 274
"О внесении изменений в постановление Правительства Орловской области от 30 апреля 2013 года № 148 "Об утверждении областной адресной программы "Переселение граждан, проживающих на территории Орловской области, из аварийного жилищного фонда" на 2013–2017 годы"
Номер опубликования: 5700201607050021
Дата опубликования: 05.07.2016
Страница №23 из 28:
Увеличить