Официальное опубликование правовых актов
ОФИЦИАЛЬНОЕ ОПУБЛИКОВАНИЕ
Постановление Правительства Орловской области от 26.05.2016 № 191
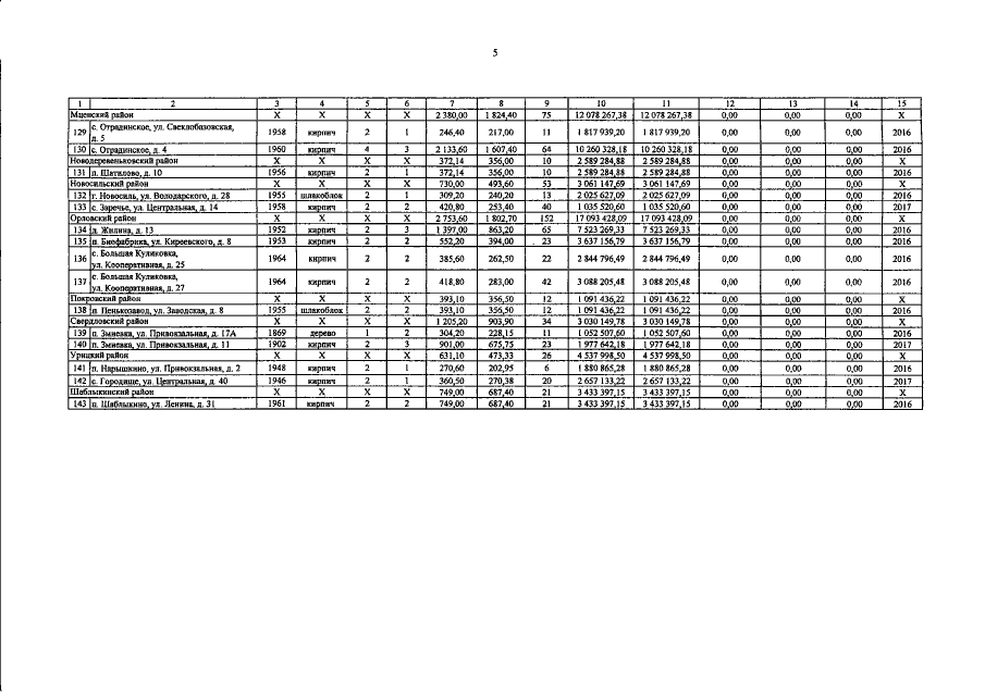
"О внесении изменений в постановление Правительства Орловской области от 20 февраля 2016 года № 54 "Об утверждении краткосрочного плана реализации областной адресной программы "Капитальный ремонт общего имущества в многоквартирных домах на территории Орловской области" в 2016 году"
Номер опубликования: 5700201605300002
Дата опубликования: 30.05.2016
Страница №11 из 15:
Увеличить