Официальное опубликование правовых актов
ОФИЦИАЛЬНОЕ ОПУБЛИКОВАНИЕ
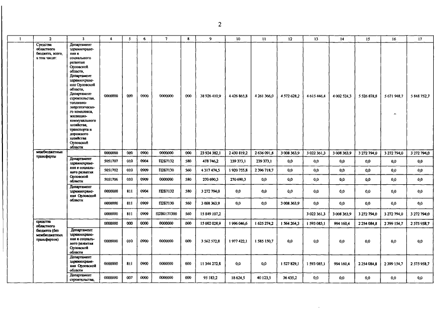
Постановление Правительства Орловской области от 13.05.2016 № 161
"О внесении изменений в постановление Правительства Орловской области от 30 апреля 2013 года № 153 "Об утверждении государственной программы Орловской области "Развитие отрасли здравоохранения в Орловской области на 2013−2020 годы"
Номер опубликования: 5700201605170018
Дата опубликования: 17.05.2016
Страница №100 из 152:
Увеличить