Официальное опубликование правовых актов
ОФИЦИАЛЬНОЕ ОПУБЛИКОВАНИЕ
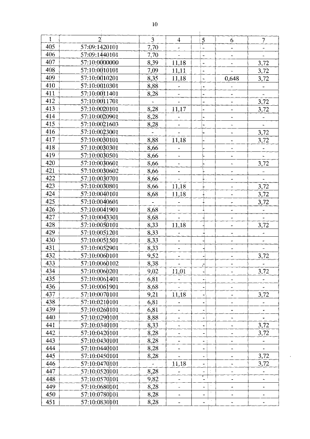
Постановление Правительства Орловской области от 10.03.2016 № 73
"О внесении изменений в постановление Правительства Орловской области от 26 декабря 2014 года № 436 "Об утверждении результатов государственной кадастровой оценки земель сельскохозяйственного назначения Орловской области"
Номер опубликования: 5700201603110004
Дата опубликования: 11.03.2016
Страница №1152 из 1167:
Увеличить