Официальное опубликование правовых актов
ОФИЦИАЛЬНОЕ ОПУБЛИКОВАНИЕ
Постановление Правительства Орловской области от 31.12.2015 № 587
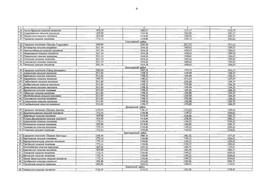
"О внесении изменений в постановление Правительства Орловской области от 27 апреля 2011 года № 124 "О региональных стандартах стоимости жилищно-коммунальных услуг, нормативной площади жилого помещения, используемой для расчета субсидий на оплату жилого помещения и коммунальных услуг, максимально допустимой доли расходов граждан на оплату жилого помещения и коммунальных услуг в совокупном доходе семьи"
Номер опубликования: 5700201601040015
Дата опубликования: 04.01.2016
Страница №16 из 30:
Увеличить