Официальное опубликование правовых актов
ОФИЦИАЛЬНОЕ ОПУБЛИКОВАНИЕ
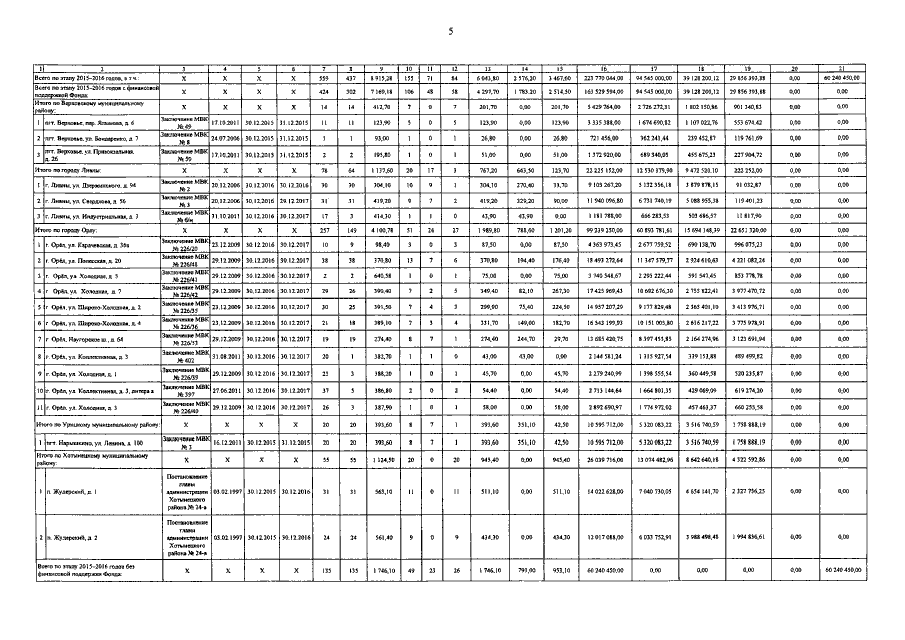
Постановление Правительства Орловской области от 11.09.2015 № 421
"О внесении изменений в постановление Правительства Орловской области от 30 апреля 2013 года № 148 "Об утверждении областной адресной программы "Переселение граждан, проживающих на территории Орловской области, из аварийного жилищного фонда" на 2013–2017 годы"
Номер опубликования: 5700201509150002
Дата опубликования: 15.09.2015
Страница №13 из 26:
Увеличить