Официальное опубликование правовых актов
ОФИЦИАЛЬНОЕ ОПУБЛИКОВАНИЕ
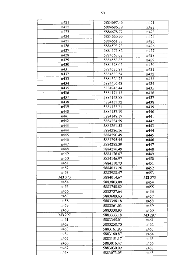
Закон Орловской области от 05.09.2015 № 1840-ОЗ
"О внесении изменений в Закон Орловской области "О статусе, границах и административных центрах муниципальных образований на территории Новосильского района Орловской области"
Номер опубликования: 5700201509070030
Дата опубликования: 07.09.2015
Страница №58 из 88:
Увеличить