Официальное опубликование правовых актов
ОФИЦИАЛЬНОЕ ОПУБЛИКОВАНИЕ
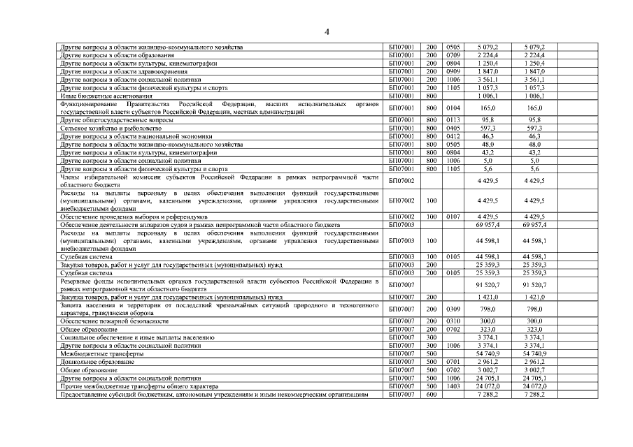
Закон Орловской области от 04.09.2015 № 1821-ОЗ
"О внесении изменений в Закон Орловской области "Об областном бюджете на 2015 год и на плановый период 2016 и 2017 годов"
Номер опубликования: 5700201509070010
Дата опубликования: 07.09.2015
Страница №501 из 613:
Увеличить