Официальное опубликование правовых актов
ОФИЦИАЛЬНОЕ ОПУБЛИКОВАНИЕ
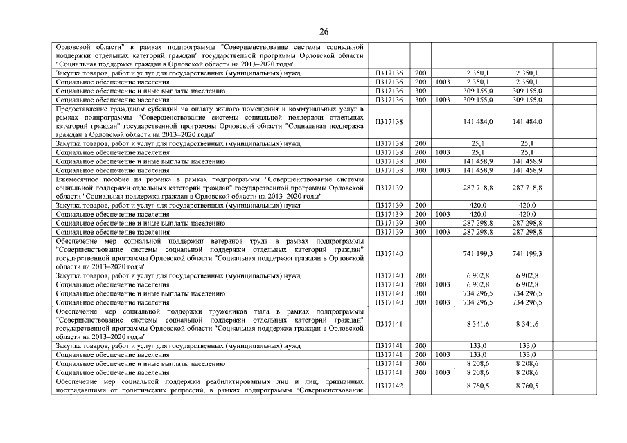
Закон Орловской области от 07.07.2015 № 1809-ОЗ
"О внесении изменений в Закон Орловской области "Об областном бюджете на 2015 год и на плановый период 2016 и 2017 годов"
Номер опубликования: 5700201507080008
Дата опубликования: 08.07.2015
Страница №313 из 365:
Увеличить