Официальное опубликование правовых актов
ОФИЦИАЛЬНОЕ ОПУБЛИКОВАНИЕ
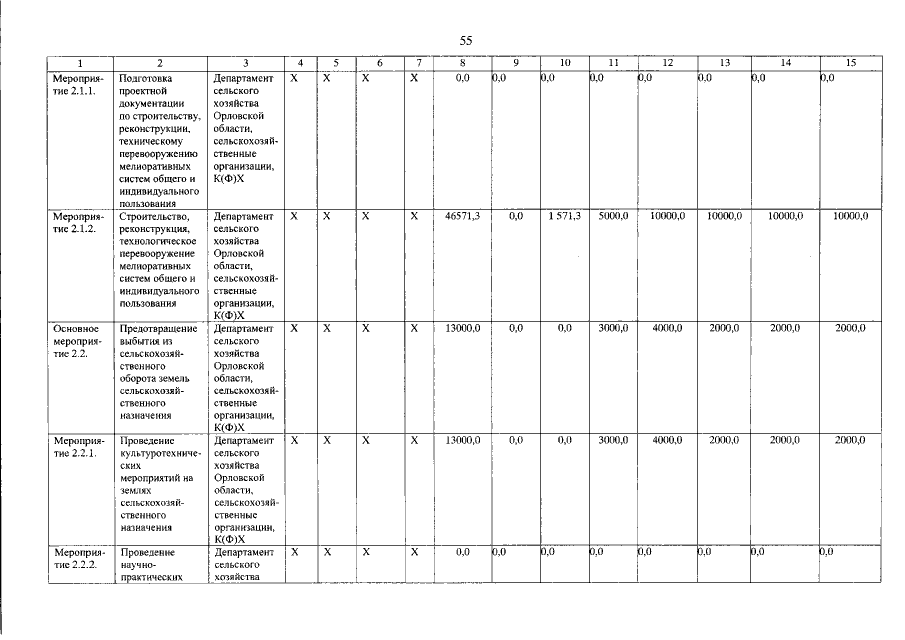
Постановление Правительства Орловской области от 02.06.2015 № 239
"О внесении изменений в постановление Правительства Орловской области от 13 декабря 2013 года № 427 "Об утверждении государственной программы Орловской области "Развитие приоритетных подотраслей агропромышленного комплекса Орловской области на 2014–2020 годы"
Номер опубликования: 5700201506050002
Дата опубликования: 05.06.2015
Страница №56 из 62:
Увеличить