Официальное опубликование правовых актов
ОФИЦИАЛЬНОЕ ОПУБЛИКОВАНИЕ
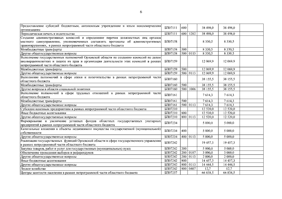
Закон Орловской области от 08.04.2015 № 1774-ОЗ
"О внесении изменений в Закон Орловской области "Об областном бюджете на 2015 год и на плановый период 2016 и 2017 годов"
Номер опубликования: 5700201504100014
Дата опубликования: 10.04.2015
Страница №233 из 297:
Увеличить