Официальное опубликование правовых актов
ОФИЦИАЛЬНОЕ ОПУБЛИКОВАНИЕ
Постановление Правительства Орловской области от 01.04.2015 № 146
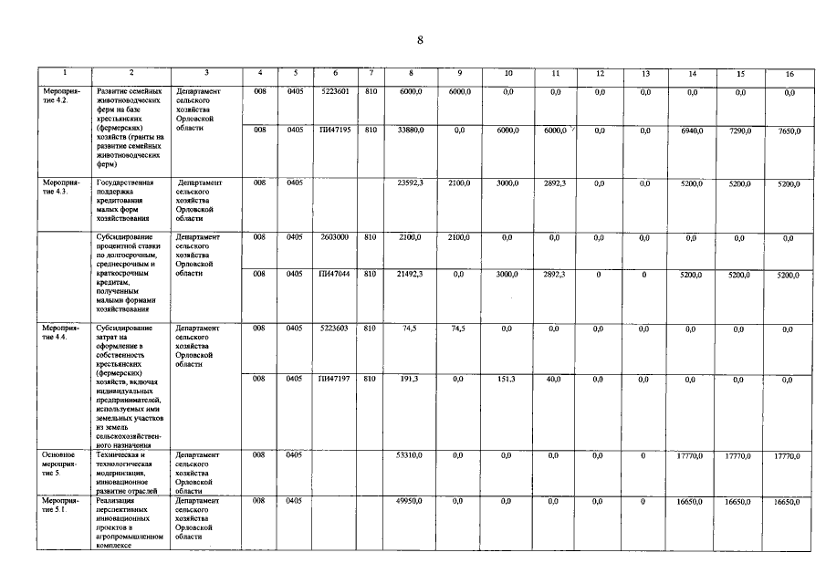
"О внесении изменений в постановление Правительства Орловской области от 27 ноября 2012 года № 436 "Об утверждении государственной программы Орловской области "Развитие сельского хозяйства и регулирование рынков сельскохозяйственной продукции, сырья и продовольствия в Орловской области на 2013–2020 годы"
Номер опубликования: 5700201504030006
Дата опубликования: 03.04.2015
Страница №22 из 47:
Увеличить