Официальное опубликование правовых актов
ОФИЦИАЛЬНОЕ ОПУБЛИКОВАНИЕ
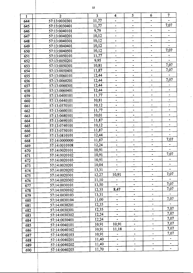
Постановление Правительства Орловской области от 26.12.2014 № 436
"Об утверждении результатов государственной кадастровой оценки земель сельскохозяйственного назначения Орловской области"
Номер опубликования: 5700201501040007
Дата опубликования: 04.01.2015
Страница №1174 из 1184:
Увеличить