Официальное опубликование правовых актов
ОФИЦИАЛЬНОЕ ОПУБЛИКОВАНИЕ
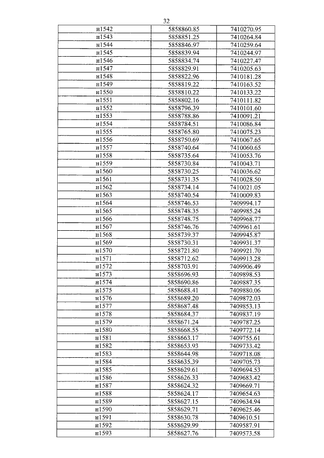
Закон Орловской области от 26.12.2014 № 1737-ОЗ
"О внесении изменений в Закон Орловской области "О статусе, границах и административных центрах муниципальных образований на территории Новодеревеньковского района Орловской области"
Номер опубликования: 5700201412290005
Дата опубликования: 29.12.2014
Страница №40 из 70:
Увеличить