Официальное опубликование правовых актов
ОФИЦИАЛЬНОЕ ОПУБЛИКОВАНИЕ
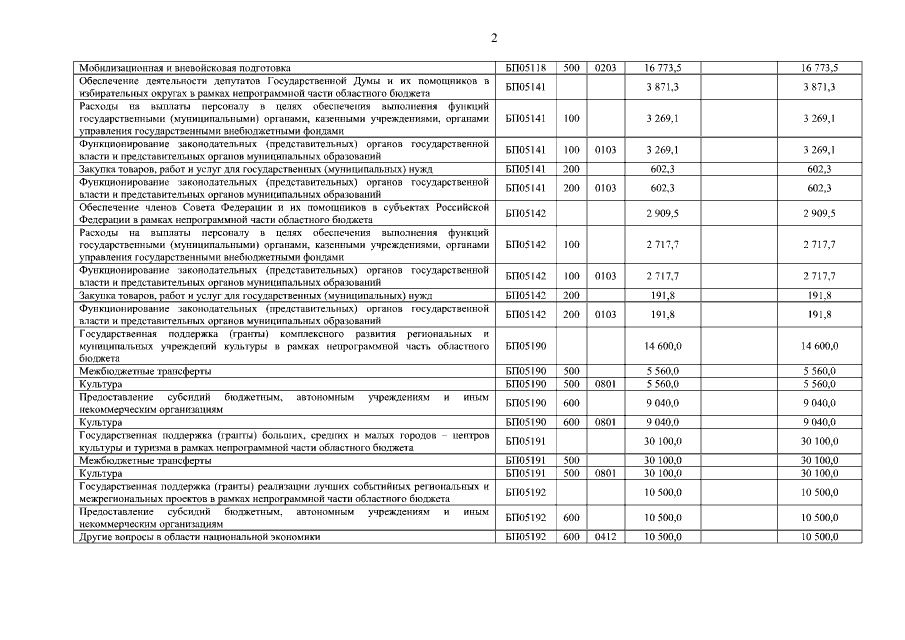
Закон Орловской области от 22.12.2014 № 1723-ОЗ
"О внесении изменений в Закон Орловской области "Об областном бюджете на 2014 год и на плановый период 2015 и 2016 годов"
Номер опубликования: 5700201412230001
Дата опубликования: 23.12.2014
Страница №310 из 408:
Увеличить