Официальное опубликование правовых актов
ОФИЦИАЛЬНОЕ ОПУБЛИКОВАНИЕ
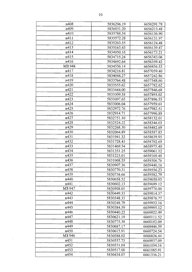
Закон Орловской области от 08.12.2014 № 1715-ОЗ
"О внесении изменений в Закон Орловской области "О статусе, границах и административных центрах муниципальных образований на территории Дмитровского района Орловской области"
Номер опубликования: 5700201412090014
Дата опубликования: 09.12.2014
Страница №19 из 80:
Увеличить