Официальное опубликование правовых актов
ОФИЦИАЛЬНОЕ ОПУБЛИКОВАНИЕ
Закон Орловской области от 08.12.2014 № 1716-ОЗ
"О внесении изменений в Закон Орловской области "О статусе, границах и административных центрах муниципальных образований на территории Троснянского района Орловской области"
Номер опубликования: 5700201412090013
Дата опубликования: 09.12.2014
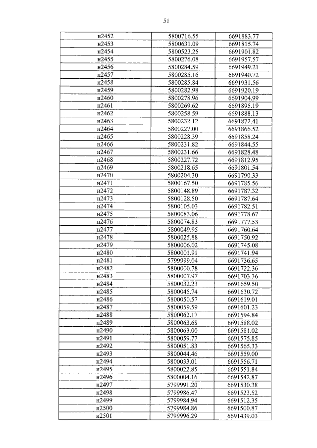
Страница №57 из 88:
Увеличить