Официальное опубликование правовых актов
ОФИЦИАЛЬНОЕ ОПУБЛИКОВАНИЕ
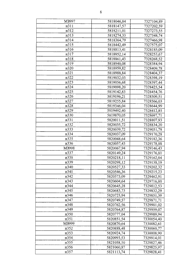
Закон Орловской области от 08.12.2014 № 1718-ОЗ
"О внесении изменений в Закон Орловской области "О статусе, границах и административных центрах муниципальных образований на территории Малоархангельского района Орловской области"
Номер опубликования: 5700201412090005
Дата опубликования: 09.12.2014
Страница №17 из 57:
Увеличить