Официальное опубликование правовых актов
ОФИЦИАЛЬНОЕ ОПУБЛИКОВАНИЕ
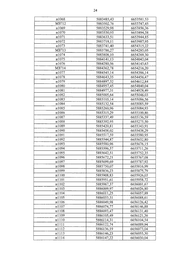
Закон Орловской области от 08.12.2014 № 1719-ОЗ
"О внесении изменений в Закон Орловской области "О статусе, границах и административных центрах муниципальных образований на территории Хотынецкого района Орловской области"
Номер опубликования: 5700201412090002
Дата опубликования: 09.12.2014
Страница №33 из 47:
Увеличить