Официальное опубликование правовых актов
ОФИЦИАЛЬНОЕ ОПУБЛИКОВАНИЕ
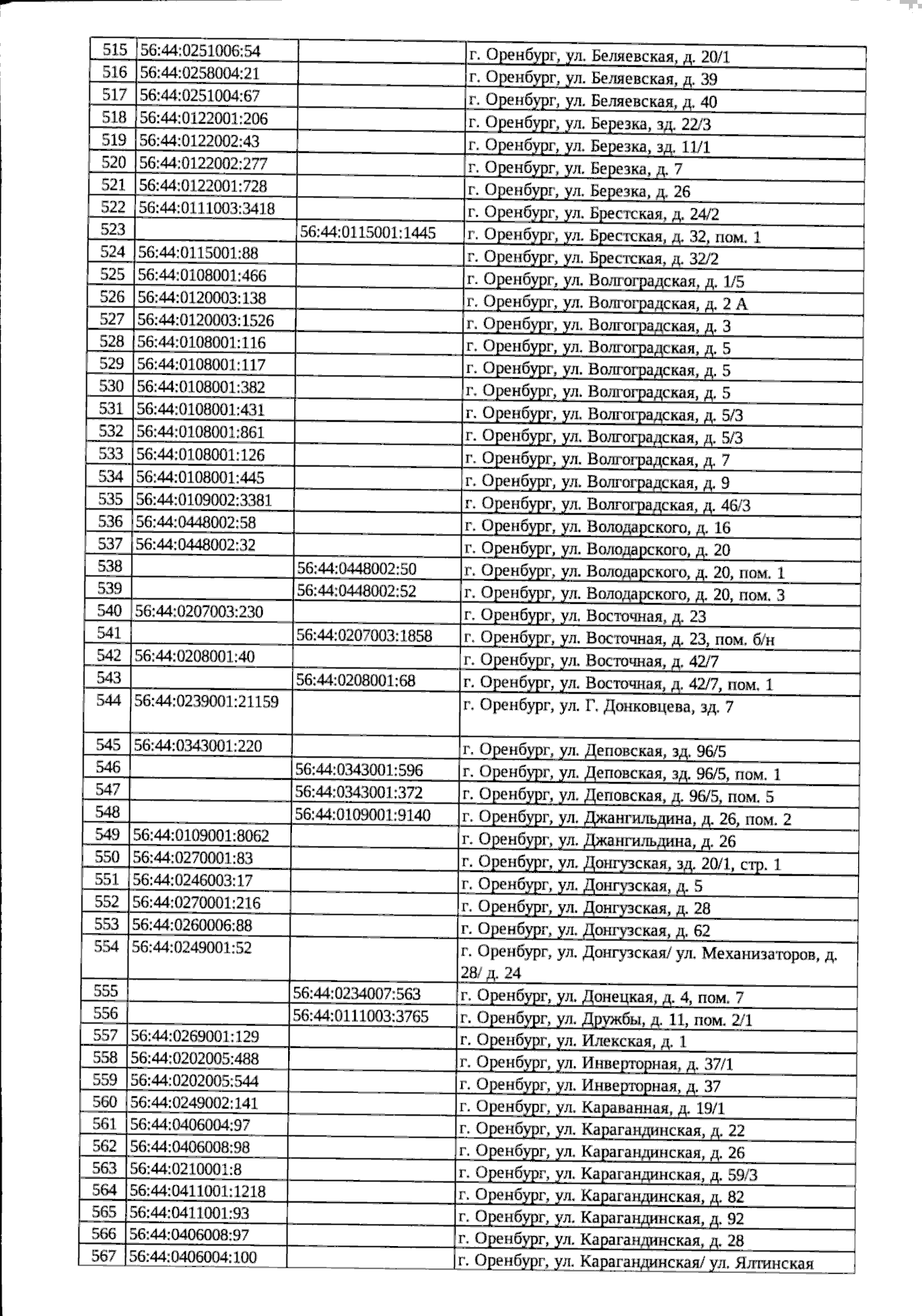
Распоряжение Министерства природных ресурсов, экологии и имущественных отношений Оренбургской области от 25.12.2025 № 2172-р
"Об утверждении перечня объектов недвижимости, в отношении которых налоговая база определяется как кадастровая стоимость, на 2026 год"
(Зарегистрирован 30.12.2025 № 0107/2025/06)
Номер опубликования: 5601202512300009
Дата опубликования: 30.12.2025
Страница №13 из 22:
Увеличить