Официальное опубликование правовых актов
ОФИЦИАЛЬНОЕ ОПУБЛИКОВАНИЕ
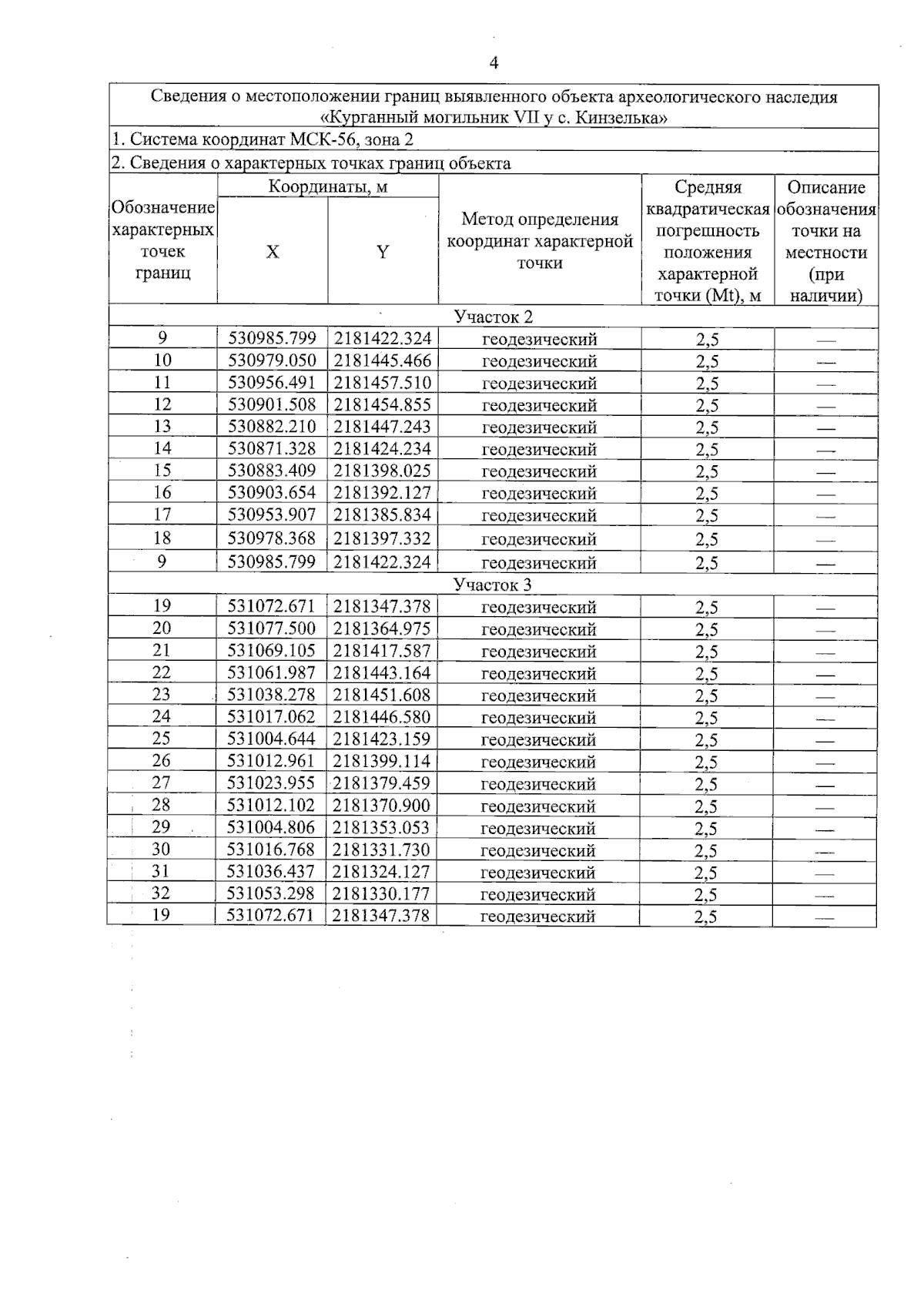
Приказ Инспекции государственной охраны объектов культурного наследия Оренбургской области от 17.12.2025 № 01-33-205
"О включении объекта археологического наследия "Курганный могильник VII у с. Кинзелька" в перечень выявленных объектов культурного наследия Оренбургской области"
(Зарегистрирован 17.12.2025 № 0174/2025/22)
Номер опубликования: 5601202512180002
Дата опубликования: 18.12.2025
Страница №4 из 7:
Увеличить