Официальное опубликование правовых актов
ОФИЦИАЛЬНОЕ ОПУБЛИКОВАНИЕ
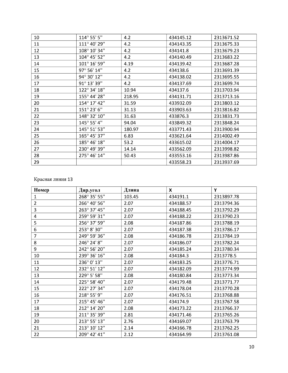
Распоряжение Министерства архитектуры и пространственно-градостроительного развития Оренбургской области от 15.10.2025 № 24-р
"Об утверждении документации по планировке территории "Магистраль общегородского значения (от перекрестка Загородного шоссе/проезд Северный до улицы Ростошинской) в городе Оренбурге ориентировочной протяженностью 8,0-9,0 км"
(Зарегистрирован 15.10.2025 № 0070/2025/02)
Номер опубликования: 5601202510170008
Дата опубликования: 17.10.2025
Страница №25 из 459:
Увеличить