Официальное опубликование правовых актов
ОФИЦИАЛЬНОЕ ОПУБЛИКОВАНИЕ
Приказ Министерства природных ресурсов, экологии и имущественных отношений Оренбургской области от 25.08.2025 № 350
"Об утверждении лесохозяйственного регламента Бугурусланского лесничества Оренбургской области"
(Зарегистрирован 25.08.2025 № 0058/2025/06)
Номер опубликования: 5601202508290001
Дата опубликования: 29.08.2025
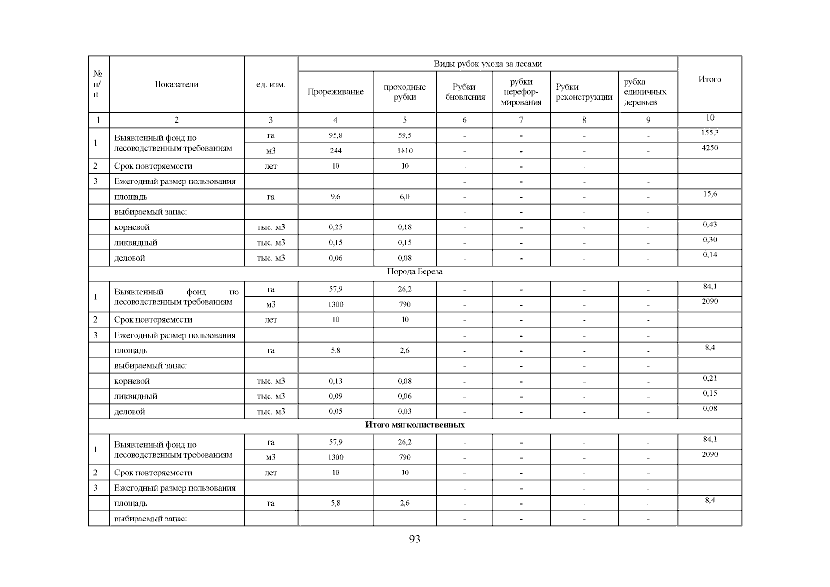
Страница №93 из 313:
Увеличить